Официальное опубликование правовых актов
ОФИЦИАЛЬНОЕ ОПУБЛИКОВАНИЕ
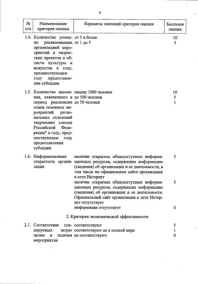
Постановление Правительства Самарской области от 19.03.2021 № 155
"О внесении изменений в постановление Правительства Самарской области от 27.11.2013 № 682 "Об утверждении государственной программы Самарской области "Развитие культуры в Самарской области на период до 2024 года"
Номер опубликования: 6300202103240006
Дата опубликования: 24.03.2021
Страница №62 из 102:
Увеличить