Официальное опубликование правовых актов
ОФИЦИАЛЬНОЕ ОПУБЛИКОВАНИЕ
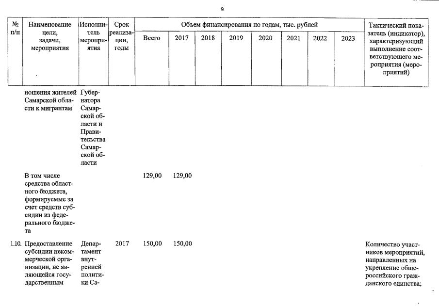
Постановление Правительства Самарской области от 12.03.2021 № 135
"О внесении изменений в постановление Правительства Самарской области от 24.12.2013 № 803 "Об утверждении государственной программы Самарской области "Реализация государственной национальной политики в Самарской области (2014 – 2022 годы)"
Номер опубликования: 6300202103170005
Дата опубликования: 17.03.2021
Страница №14 из 84:
Увеличить