Официальное опубликование правовых актов
ОФИЦИАЛЬНОЕ ОПУБЛИКОВАНИЕ
Постановление Правительства Самарской области от 22.01.2021 № 20
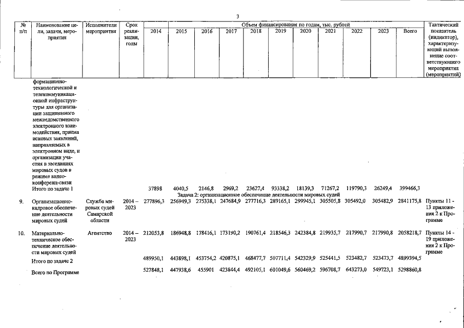
"О внесении изменений в постановление Правительства Самарской области от 13.11.2013 № 611 "Об утверждении государственной программы Самарской области "Развитие мировой юстиции в Самарской области на 2014 – 2022 годы"
Номер опубликования: 6300202101270001
Дата опубликования: 27.01.2021
Страница №14 из 14:
Увеличить