Официальное опубликование правовых актов
ОФИЦИАЛЬНОЕ ОПУБЛИКОВАНИЕ
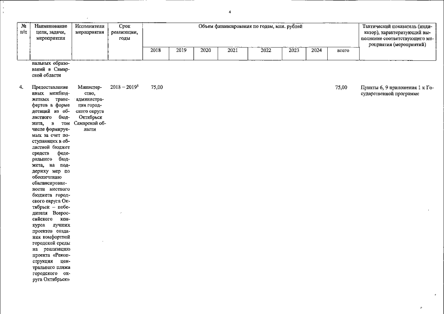
Постановление Правительства Самарской области от 29.12.2020 № 1126
"О внесении изменений в постановление Правительства Самарской области от 01.11.2017 № 688 "Об утверждении государственной программы Самарской области "Формирование комфортной городской среды на 2018 – 2024 годы"
Номер опубликования: 6300202012300020
Дата опубликования: 30.12.2020
Страница №10 из 24:
Увеличить