Официальное опубликование правовых актов
ОФИЦИАЛЬНОЕ ОПУБЛИКОВАНИЕ
Постановление Правительства Самарской области от 15.12.2020 № 1024
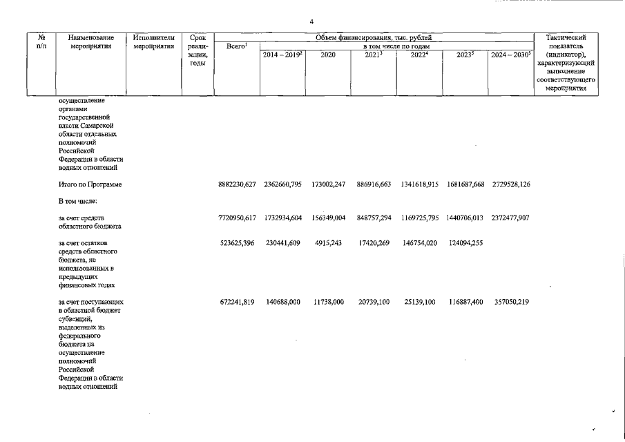
"О внесении изменений в постановление Правительства Самарской области от 30.10.2013 № 579 "Об утверждении государственной программы Самарской области "Развитие водохозяйственного комплекса Самарской области в 2014 – 2030 годах"
Номер опубликования: 6300202012180017
Дата опубликования: 18.12.2020
Страница №10 из 11:
Увеличить