Официальное опубликование правовых актов
ОФИЦИАЛЬНОЕ ОПУБЛИКОВАНИЕ
Постановление Правительства Самарской области от 18.11.2020 № 900
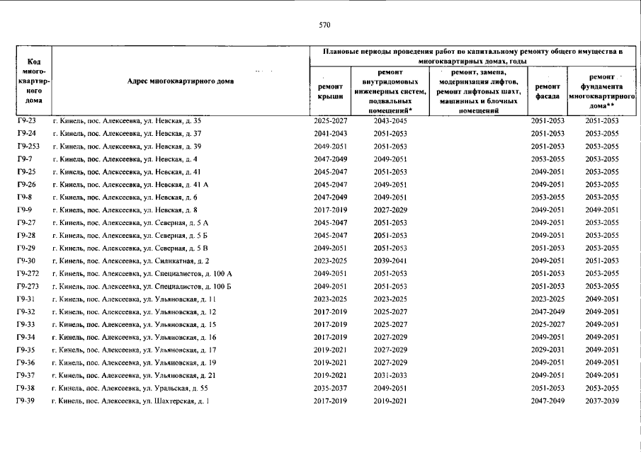
"О внесении изменений в постановление Правительства Самарской области от 29.11.2013 № 707 "Об утверждении региональной программы капитального ремонта общего имущества в многоквартирных домах, расположенных на территории Самарской области"
Номер опубликования: 6300202011200007
Дата опубликования: 20.11.2020
Страница №572 из 769:
Увеличить