Официальное опубликование правовых актов
ОФИЦИАЛЬНОЕ ОПУБЛИКОВАНИЕ
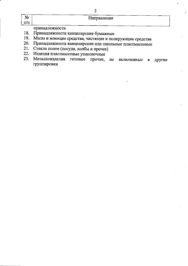
Постановление Правительства Самарской области от 11.11.2020 № 875
"О внесении изменений в отдельные постановления Правительства Самарской области"
Номер опубликования: 6300202011130011
Дата опубликования: 13.11.2020
Страница №38 из 42:
Увеличить