Официальное опубликование правовых актов
ОФИЦИАЛЬНОЕ ОПУБЛИКОВАНИЕ
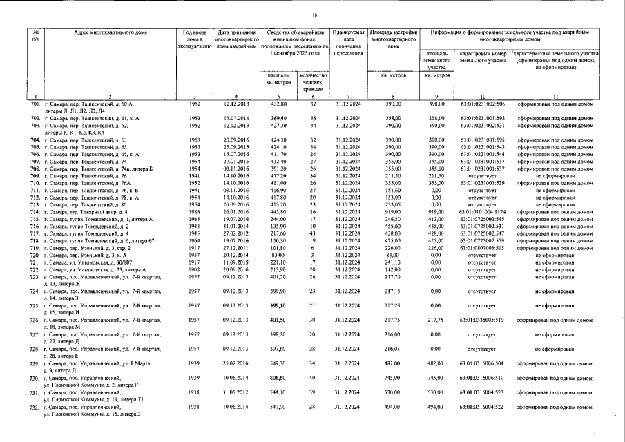
Постановление Правительства Самарской области от 06.08.2020 № 566
"О внесении изменений в постановление Правительства Самарской области от 29.03.2019 № 179 "Об утверждении государственной программы Самарской области "Переселение граждан из аварийного жилищного фонда, признанного таковым до 1 января 2017 года" до 2025 года"
Номер опубликования: 6300202008120007
Дата опубликования: 12.08.2020
Страница №52 из 101:
Увеличить