Официальное опубликование правовых актов
ОФИЦИАЛЬНОЕ ОПУБЛИКОВАНИЕ
Постановление Правительства Самарской области от 31.07.2020 № 541
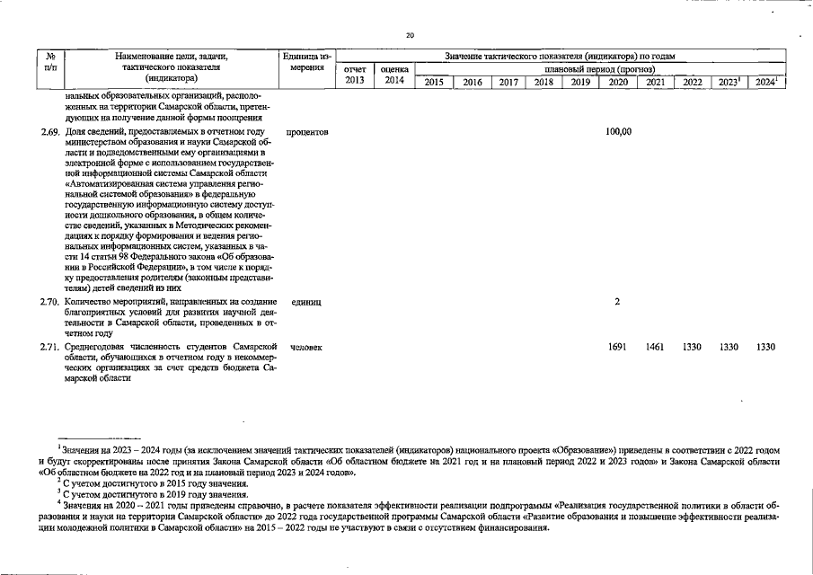
"О внесении изменений в постановление Правительства Самарской области от 21.01.2015 № 6 "Об утверждении государственной программы Самарской области "Развитие образования и повышение эффективности реализации молодежной политики в Самарской области" на 2015 – 2024 годы"
Номер опубликования: 6300202008050033
Дата опубликования: 05.08.2020
Страница №51 из 166:
Увеличить