Официальное опубликование правовых актов
ОФИЦИАЛЬНОЕ ОПУБЛИКОВАНИЕ
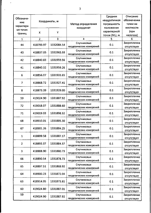
Распоряжение Правительства Самарской области от 20.05.2020 № 250-р
"Об установлении публичного сервитута в отношении земельных участков, расположенных на территории Самарской области, в целях реконструкции объекта регионального значения – объекта электросетевого хозяйства"
Номер опубликования: 6300202005220004
Дата опубликования: 22.05.2020
Страница №9 из 24:
Увеличить