Официальное опубликование правовых актов
ОФИЦИАЛЬНОЕ ОПУБЛИКОВАНИЕ
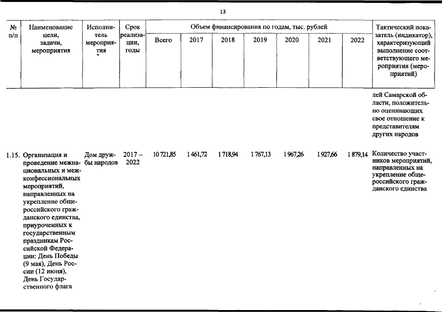
Постановление Правительства Самарской области от 14.04.2020 № 253
"О внесении изменений в постановление Правительства Самарской области от 24.12.2013 № 803 "Об утверждении государственной программы Самарской области "Реализация государственной национальной политики в Самарской области (2014 – 2022 годы)"
Номер опубликования: 6300202004170016
Дата опубликования: 17.04.2020
Страница №18 из 29:
Увеличить