Официальное опубликование правовых актов
ОФИЦИАЛЬНОЕ ОПУБЛИКОВАНИЕ
Постановление Правительства Самарской области от 02.03.2020 № 116
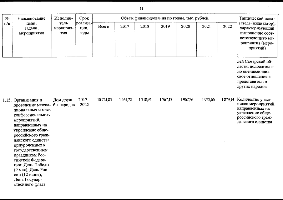
"О внесении изменений в постановление Правительства Самарской области от 24.12.2013 № 803 "Об утверждении государственной программы Самарской области "Реализация государственной национальной политики в Самарской области (2014 – 2021 годы)"
Номер опубликования: 6300202003050001
Дата опубликования: 05.03.2020
Страница №29 из 48:
Увеличить