Официальное опубликование правовых актов
ОФИЦИАЛЬНОЕ ОПУБЛИКОВАНИЕ
Постановление Правительства Самарской области от 20.01.2020 № 25
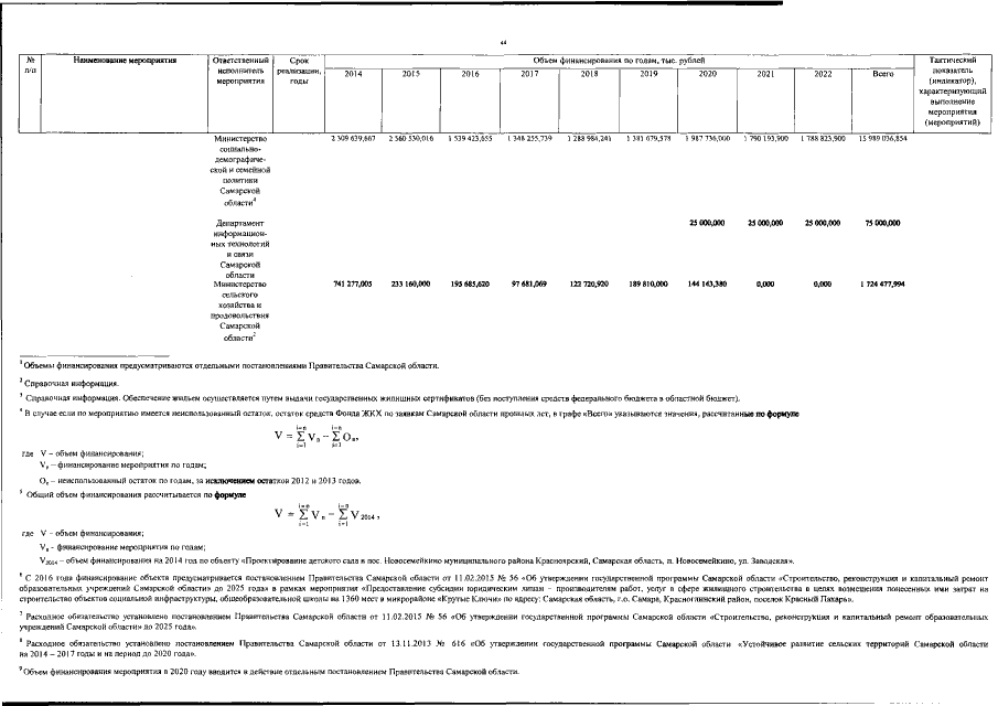
"О внесении изменений в постановление Правительства Самарской области от 27.11.2013 № 684 "Об утверждении государственной программы Самарской области "Развитие жилищного строительства в Самарской области" до 2021 года"
Номер опубликования: 6300202001240006
Дата опубликования: 24.01.2020
Страница №226 из 228:
Увеличить