Официальное опубликование правовых актов
ОФИЦИАЛЬНОЕ ОПУБЛИКОВАНИЕ
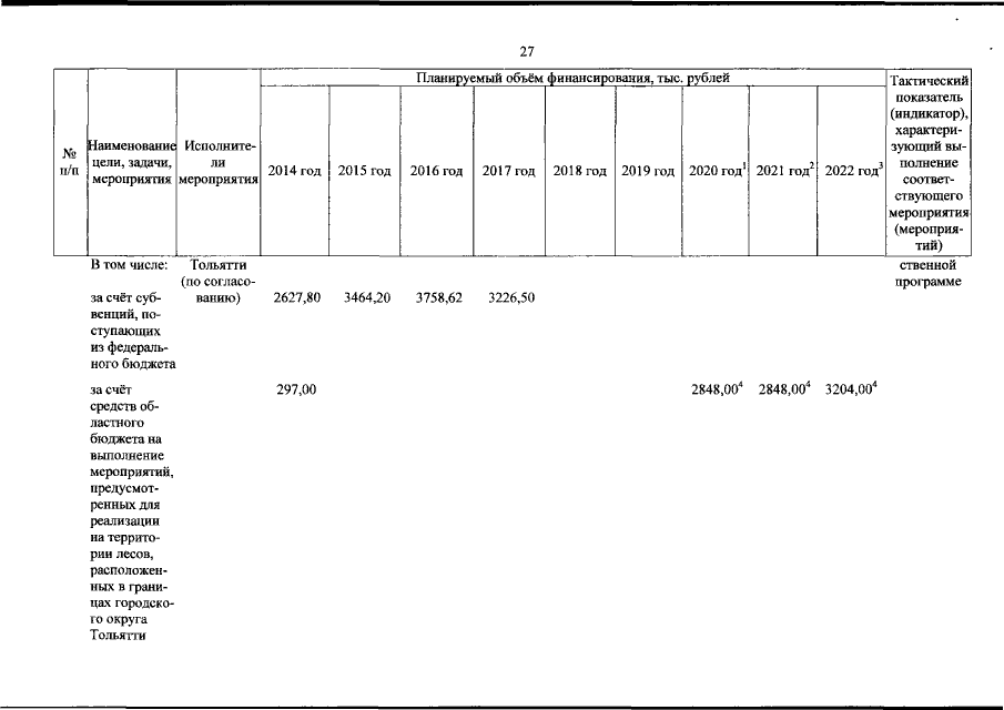
Постановление Правительства Самарской области от 15.01.2020 № 12
"О внесении изменений в постановление Правительства Самарской области от 14.11.2013 № 621 "Об утверждении государственной программы Самарской области "Развитие лесного хозяйства Самарской области на 2014 – 2030 годы"
Номер опубликования: 6300202001170010
Дата опубликования: 17.01.2020
Страница №79 из 132:
Увеличить