Официальное опубликование правовых актов
ОФИЦИАЛЬНОЕ ОПУБЛИКОВАНИЕ
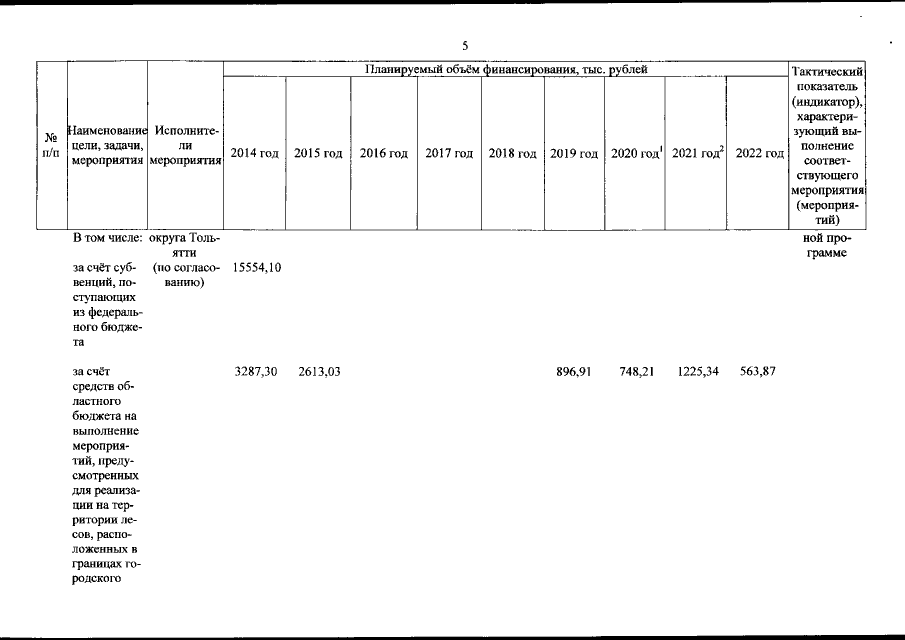
Постановление Правительства Самарской области от 17.12.2019 № 938
"О внесении изменений в постановление Правительства Самарской области от 14.11.2013 № 621 "Об утверждении государственной программы Самарской области "Развитие лесного хозяйства Самарской области на 2014 – 2030 годы"
Номер опубликования: 6300201912180020
Дата опубликования: 18.12.2019
Страница №21 из 87:
Увеличить