Официальное опубликование правовых актов
ОФИЦИАЛЬНОЕ ОПУБЛИКОВАНИЕ
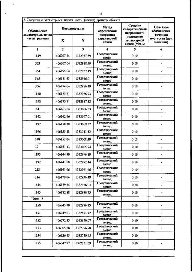
Распоряжение Правительства Самарской области от 22.11.2019 № 1058-р
"Об установлении публичного сервитута в отношении земельных участков, расположенных на территории Самарской области, в целях размещения объекта регионального значения – объекта газораспределительной системы"
Номер опубликования: 6300201911270025
Дата опубликования: 27.11.2019
Страница №15 из 44:
Увеличить