Официальное опубликование правовых актов
ОФИЦИАЛЬНОЕ ОПУБЛИКОВАНИЕ
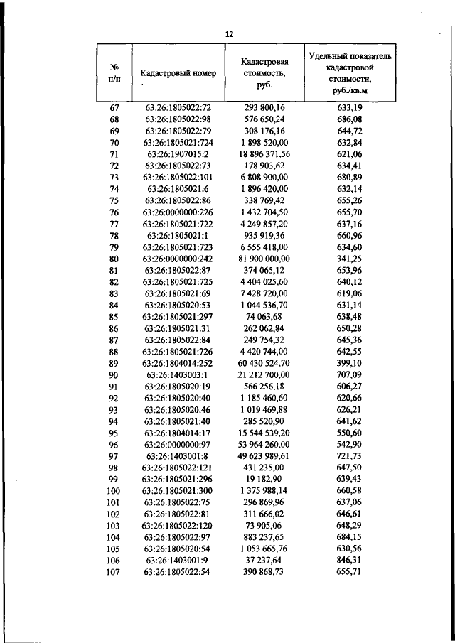
Постановление Правительства Самарской области от 06.11.2019 № 798
"Об утверждении результатов определения государственной кадастровой стоимости земельных участков в составе земель особо охраняемых территорий и объектов в Самарской области"
Номер опубликования: 6300201911140002
Дата опубликования: 14.11.2019
Страница №13 из 29:
Увеличить