Официальное опубликование правовых актов
ОФИЦИАЛЬНОЕ ОПУБЛИКОВАНИЕ
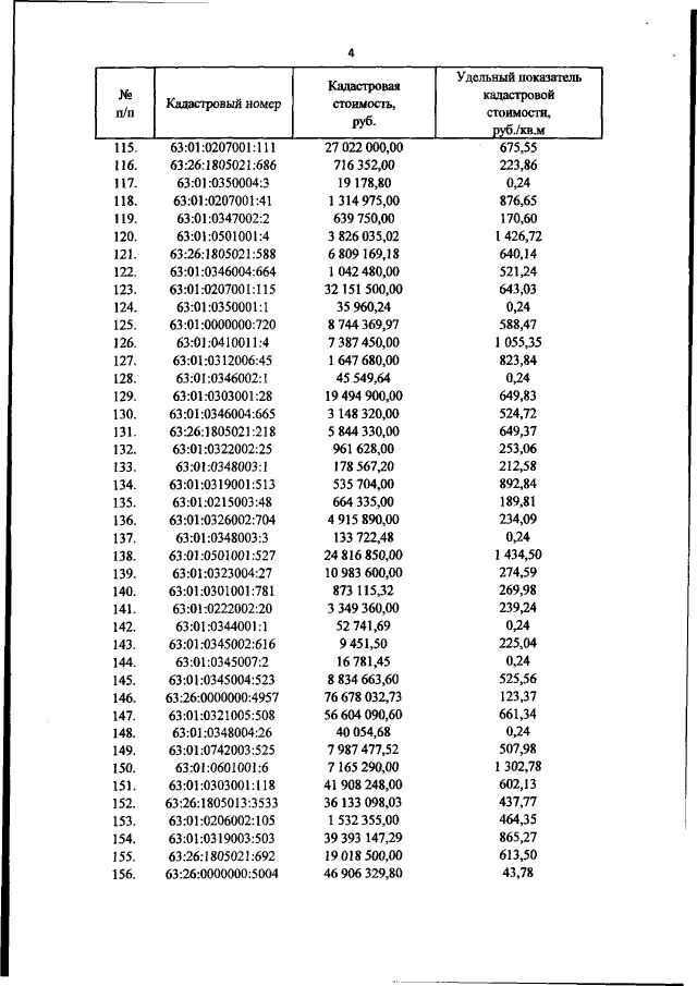
Постановление Правительства Самарской области от 06.11.2019 № 799
"Об утверждении результатов определения государственной кадастровой стоимости земельных участков в составе земель лесного фонда в Самарской области"
Номер опубликования: 6300201911140001
Дата опубликования: 14.11.2019
Страница №5 из 76:
Увеличить