Официальное опубликование правовых актов
ОФИЦИАЛЬНОЕ ОПУБЛИКОВАНИЕ
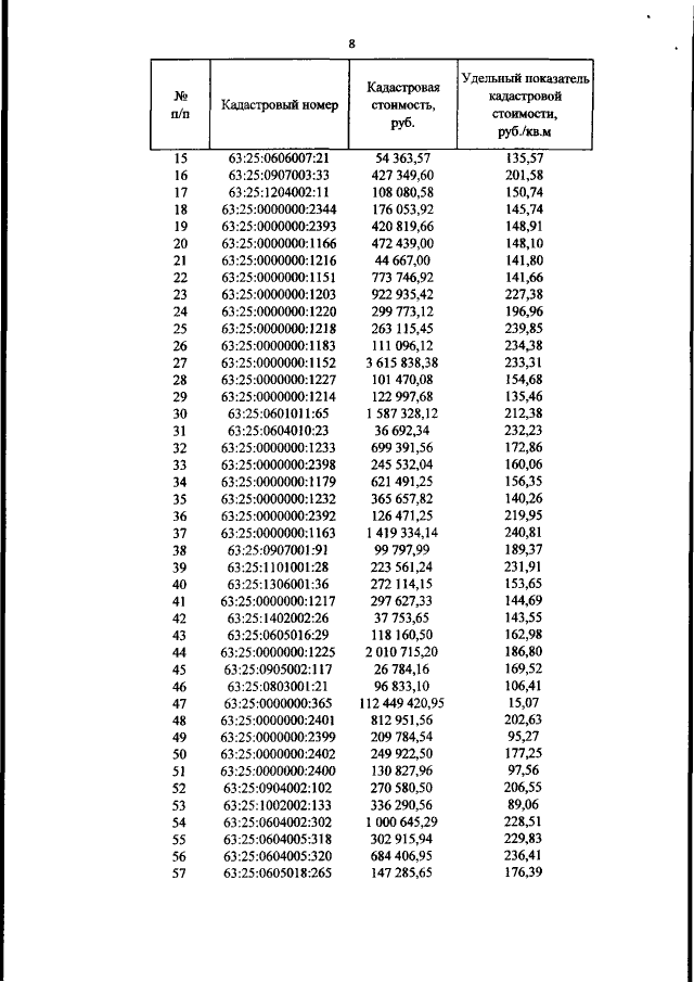
Постановление Правительства Самарской области от 06.11.2019 № 796
"Об утверждении результатов определения государственной кадастровой стоимости земельных участков в составе земель водного фонда в Самарской области"
Номер опубликования: 6300201911130005
Дата опубликования: 13.11.2019
Страница №9 из 13:
Увеличить