Официальное опубликование правовых актов
ОФИЦИАЛЬНОЕ ОПУБЛИКОВАНИЕ
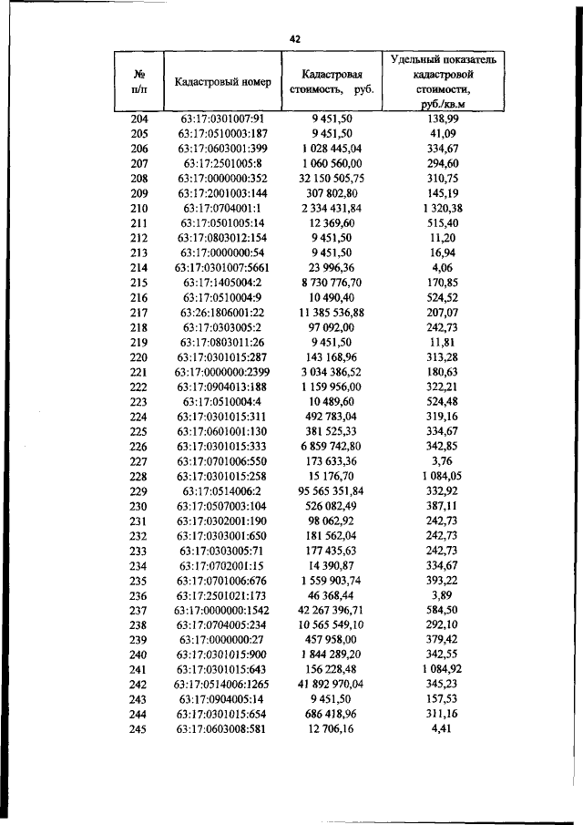
Постановление Правительства Самарской области от 06.11.2019 № 797
"Об утверждении результатов определения государственной кадастровой стоимости земельных участков в составе земель промышленности, энергетики, транспорта, связи, радиовещания, телевидения, информатики, земель для обеспечения космической деятельности, земель обороны, безопасности и земель иного специального назначения в Самарской области"
Номер опубликования: 6300201911130001
Дата опубликования: 13.11.2019
Страница №44 из 237:
Увеличить