Официальное опубликование правовых актов
ОФИЦИАЛЬНОЕ ОПУБЛИКОВАНИЕ
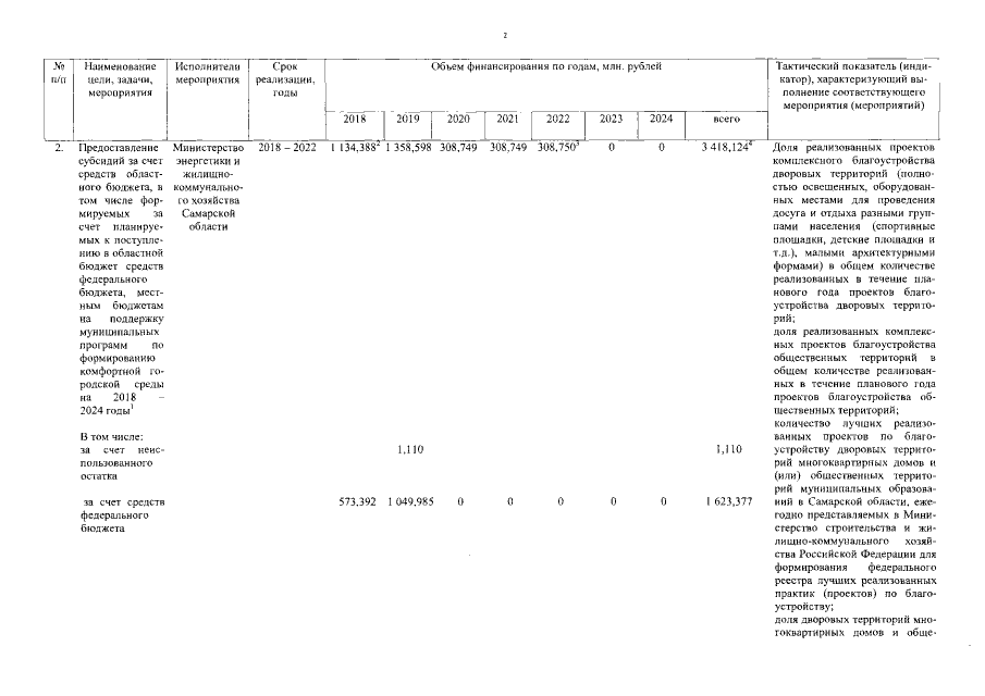
Постановление Правительства Самарской области от 02.10.2019 № 685
"О внесении изменений в постановление Правительства Самарской области от 01.11.2017 № 688 "Об утверждении государственной программы Самарской области "Формирование комфортной городской среды на 2018 – 2024 годы"
Номер опубликования: 6300201910040005
Дата опубликования: 04.10.2019
Страница №24 из 36:
Увеличить