Официальное опубликование правовых актов
ОФИЦИАЛЬНОЕ ОПУБЛИКОВАНИЕ
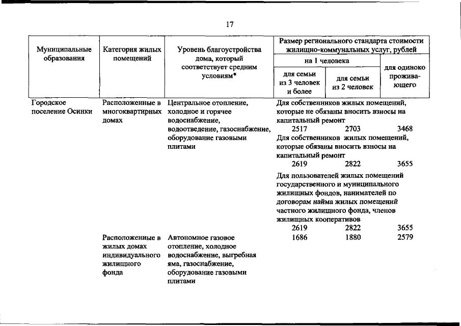
Постановление Правительства Самарской области от 14.08.2019 № 563
"Об установлении регионального стандарта стоимости жилищно-коммунальных услуг, дифференцированной по муниципальным образованиям в Самарской области, используемого при расчете субсидий гражданам на оплату жилого помещения и коммунальных услуг, и о признании утратившим силу постановления Правительства Самарской области от 25.04.2019 № 260 "Об установлении регионального стандарта стоимости жилищно-коммунальных услуг, дифференцированной по муниципальным образованиям в Самарской области, используемого при расчете субсидий гражданам на оплату жилого помещения и коммунальных услуг, и о признании утратившими силу отдельных постановлений Правительства Самарской области"
Номер опубликования: 6300201908150007
Дата опубликования: 15.08.2019
Страница №19 из 235:
Увеличить