Официальное опубликование правовых актов
ОФИЦИАЛЬНОЕ ОПУБЛИКОВАНИЕ
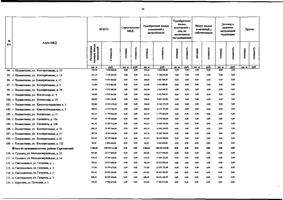
Постановление Правительства Самарской области от 10.07.2019 № 469
"О внесении изменений в постановление Правительства Самарской области от 27.11.2013 № 684 "Об утверждении государственной программы Самарской области "Развитие жилищного строительства в Самарской области" до 2021 года"
Номер опубликования: 6300201907150004
Дата опубликования: 15.07.2019
Страница №66 из 110:
Увеличить