Официальное опубликование правовых актов
ОФИЦИАЛЬНОЕ ОПУБЛИКОВАНИЕ
Постановление Губернатора Самарской области от 19.02.2019 № 17
"Об утверждении Лесного плана Самарской области"
Номер опубликования: 6300201902210010
Дата опубликования: 21.02.2019
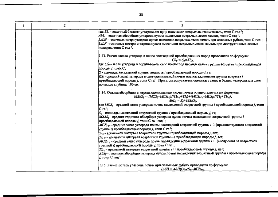
Страница №106 из 218:
Увеличить