Официальное опубликование правовых актов
ОФИЦИАЛЬНОЕ ОПУБЛИКОВАНИЕ
Постановление Правительства Самарской области от 12.02.2019 № 72
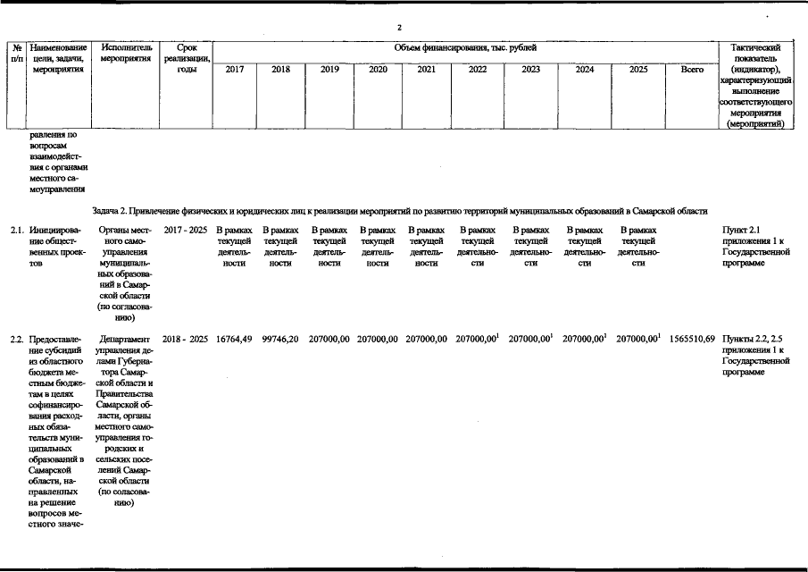
"О внесении изменений в постановление Правительства Самарской области от 17.05.2017 № 323 "Об утверждении государственной программы Самарской области "Поддержка инициатив населения муниципальных образований в Самарской области" на 2017 – 2025 годы и внесении изменений в постановление Правительства Самарской области от 30.12.2011 № 912 "Об установлении общих требований к предоставлению и распределению субсидий из областного бюджета местным бюджетам в Самарской области, а также Порядка формирования перечня расходных обязательств муниципальных образований в Самарской области, возникающих при выполнении полномочий органов местного самоуправления по вопросам местного значения, в целях софинансирования которых предоставляются субсидии из областного бюджета"
Номер опубликования: 6300201902150005
Дата опубликования: 15.02.2019
Страница №19 из 27:
Увеличить