Официальное опубликование правовых актов
ОФИЦИАЛЬНОЕ ОПУБЛИКОВАНИЕ
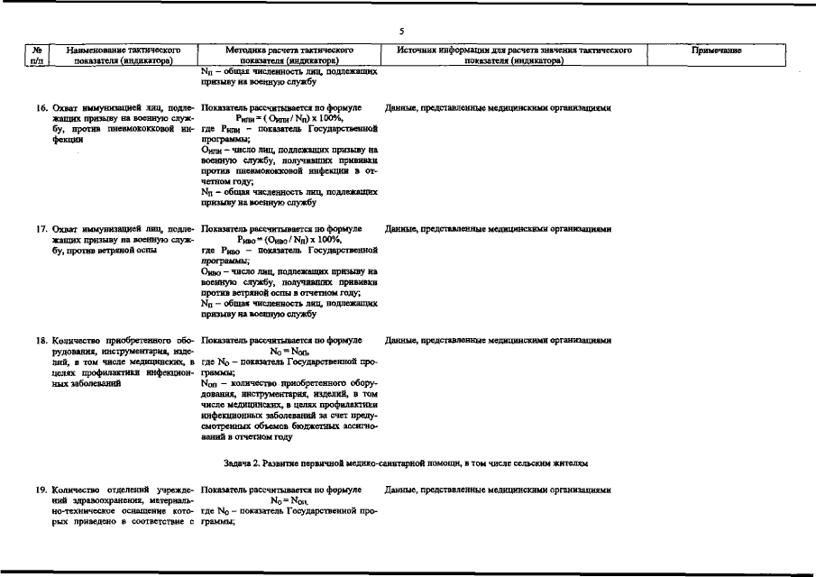
Постановление Правительства Самарской области от 01.02.2019 № 36
"О внесении изменений в постановление Правительства Самарской области от 27.11.2013 № 674 "Об утверждении государственной программы Самарской области "Развитие здравоохранения в Самарской области" на 2014 – 2020 годы"
Номер опубликования: 6300201902080006
Дата опубликования: 08.02.2019
Страница №287 из 351:
Увеличить