Официальное опубликование правовых актов
ОФИЦИАЛЬНОЕ ОПУБЛИКОВАНИЕ
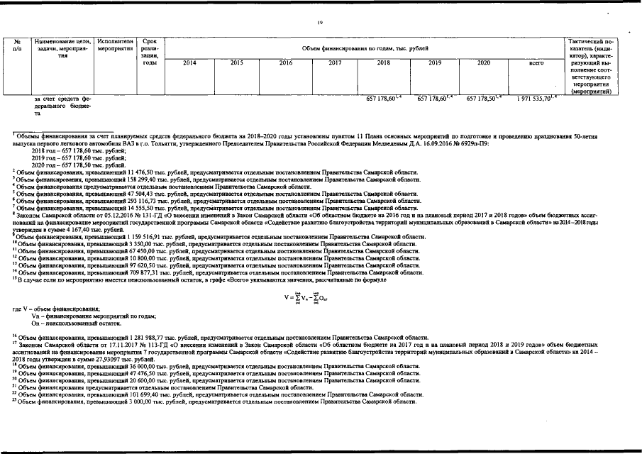
Постановление Правительства Самарской области от 26.12.2018 № 835
"О внесении изменений в постановление Правительства Самарской области от 27.11.2013 № 670 "Об утверждении государственной программы Самарской области "Содействие развитию благоустройства территорий муниципальных образований в Самарской области" на 2014 - 2020 годы"
Номер опубликования: 6300201812280001
Дата опубликования: 28.12.2018
Страница №27 из 36:
Увеличить