Официальное опубликование правовых актов
ОФИЦИАЛЬНОЕ ОПУБЛИКОВАНИЕ
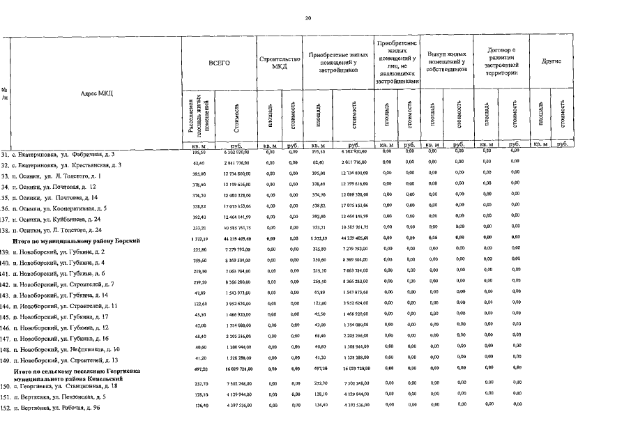
Постановление Правительства Самарской области от 12.09.2018 № 545
"О внесении изменений в постановление Правительства Самарской области от 27.11.2013 № 684 "Об утверждении государственной программы Самарской области "Развитие жилищного строительства в Самарской области" до 2020 года"
Номер опубликования: 6300201809180012
Дата опубликования: 18.09.2018
Страница №66 из 107:
Увеличить