Официальное опубликование правовых актов
ОФИЦИАЛЬНОЕ ОПУБЛИКОВАНИЕ
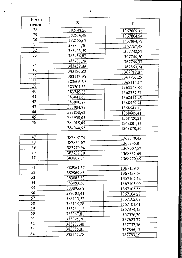
Постановление Правительства Самарской области от 06.09.2018 № 534
"Об установлении границ лесопаркового зелёного пояса вокруг города Самары"
Номер опубликования: 6300201809110015
Дата опубликования: 11.09.2018
Страница №3 из 4:
Увеличить