Официальное опубликование правовых актов
ОФИЦИАЛЬНОЕ ОПУБЛИКОВАНИЕ
Постановление Правительства Самарской области от 25.05.2018 № 287
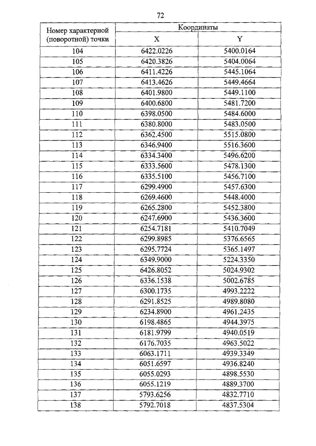
"Об утверждении границ территории объекта культурного наследия федерального значения "Комплекс дачи Головкина, нач. XX в., арх. Головкин К.П.", границ объединенной зоны охраны объекта культурного наследия федерального значения "Комплекс дачи Головкина, нач. XX в., арх. Головкин К.П.", объектов культурного наследия регионального значения "Дача купца В.М. Сурошникова. Арх. Шехтель Ф.О.", "Дача купца В.Н.Башкирова (В.М.Сурошникова): дом владельца; дом арендаторов; переход-галерея", "Питейное заведение (загородный ресторан)", "Жилой дом на даче почетного гражданина города А.А.Титова", режимов использования земель и требований к градостроительным регламентам в границах данной зоны и внесении изменений в постановление Правительства Самарской области от 20.12.2012 № 784 "Об утверждении границ зон охраны объектов культурного наследия федерального значения, расположенных на территории Самарской области, режимов использования земель и градостроительных регламентов в границах данных зон"
Номер опубликования: 6300201805290013
Дата опубликования: 29.05.2018
Страница №79 из 95:
Увеличить