Официальное опубликование правовых актов
ОФИЦИАЛЬНОЕ ОПУБЛИКОВАНИЕ
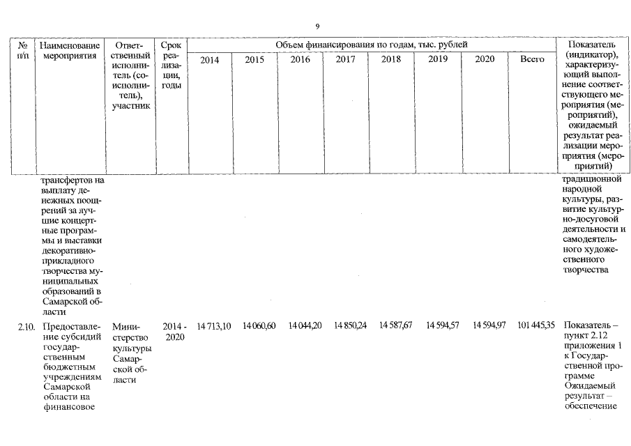
Постановление Правительства Самарской области от 22.12.2017 № 874
"О внесении изменений в постановление Правительства Самарской области от 27.11.2013 № 682 "Об утверждении государственной программы Самарской области "Развитие культуры в Самарской области на период до 2020 года"
Номер опубликования: 6300201712260014
Дата опубликования: 26.12.2017
Страница №22 из 74:
Увеличить