Официальное опубликование правовых актов
ОФИЦИАЛЬНОЕ ОПУБЛИКОВАНИЕ
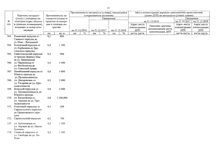
Постановление Правительства Самарской области от 22.02.2017 № 114
"О внесении изменений в постановление Правительства Самарской области от 27.11.2013 № 677 "Об утверждении государственной программы Самарской области "Развитие транспортной системы Самарской области (2014 – 2025 годы)"
Номер опубликования: 6300201702280019
Дата опубликования: 28.02.2017
Страница №133 из 475:
Увеличить