Официальное опубликование правовых актов
ОФИЦИАЛЬНОЕ ОПУБЛИКОВАНИЕ
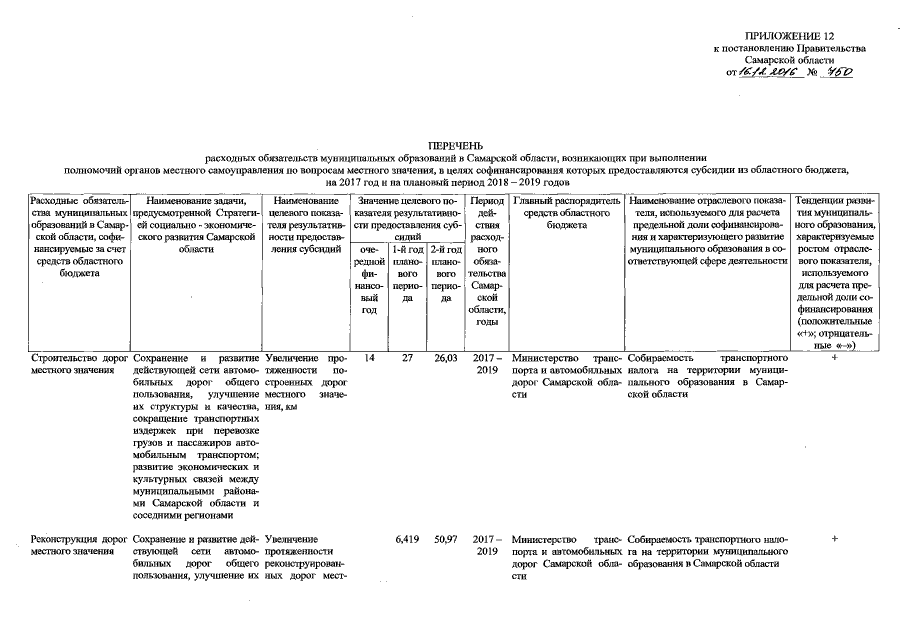
Постановление Правительства Самарской области от 16.12.2016 № 750
"О внесении изменений в отдельные постановления Правительства Самарской области"
Номер опубликования: 6300201612200026
Дата опубликования: 20.12.2016
Страница №95 из 97:
Увеличить