Официальное опубликование правовых актов
ОФИЦИАЛЬНОЕ ОПУБЛИКОВАНИЕ
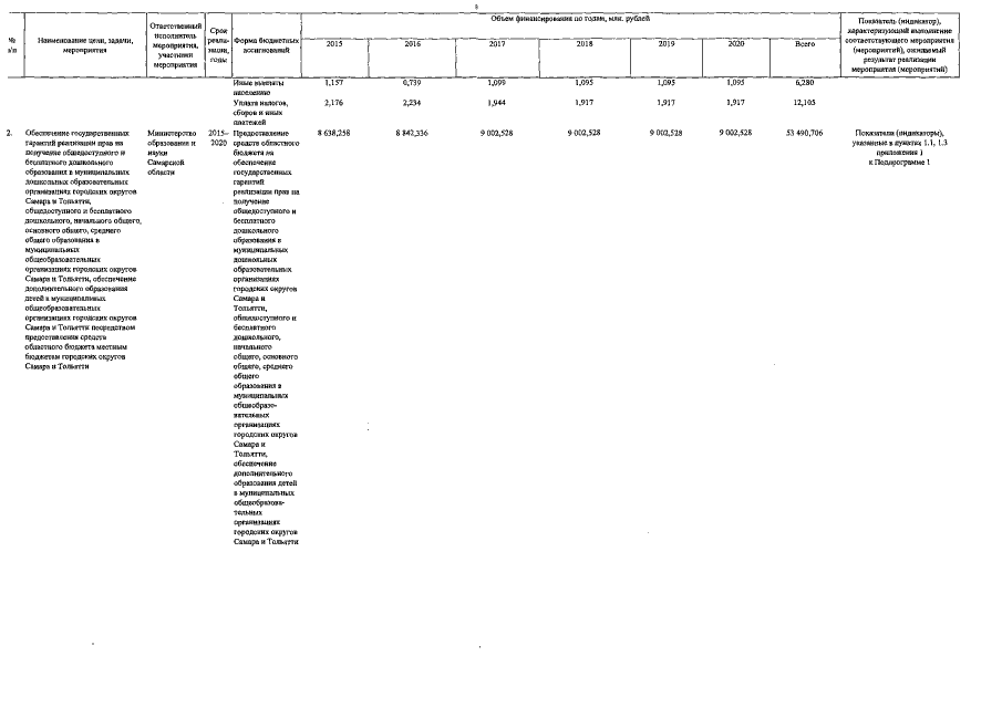
Постановление Правительства Самарской области от 16.12.2016 № 754
"О внесении изменений в отдельные постановления Правительства Самарской области и об утверждении Порядка определения объема и предоставления субсидий из областного бюджета социально ориентированным некоммерческим организациям, не являющимся государственными (муниципальными) учреждениями, на проведение мероприятий регионального чемпионата "Молодые профессионалы" (Worldskills Russia) Самарской области и порядка определения объема и условий предоставления субсидии государственным бюджетным образовательным учреждениям Самарской области в соответствии с абзацем вторым пункта 1 статьи 78.1 Бюджетного кодекса Российской Федерации на оплату членского взноса ассоциированного члена союза "Агентство развития профессиональных сообществ и рабочих кадров "Ворлдскиллс Россия"
Номер опубликования: 6300201612200020
Дата опубликования: 20.12.2016
Страница №62 из 211:
Увеличить