Официальное опубликование правовых актов
ОФИЦИАЛЬНОЕ ОПУБЛИКОВАНИЕ
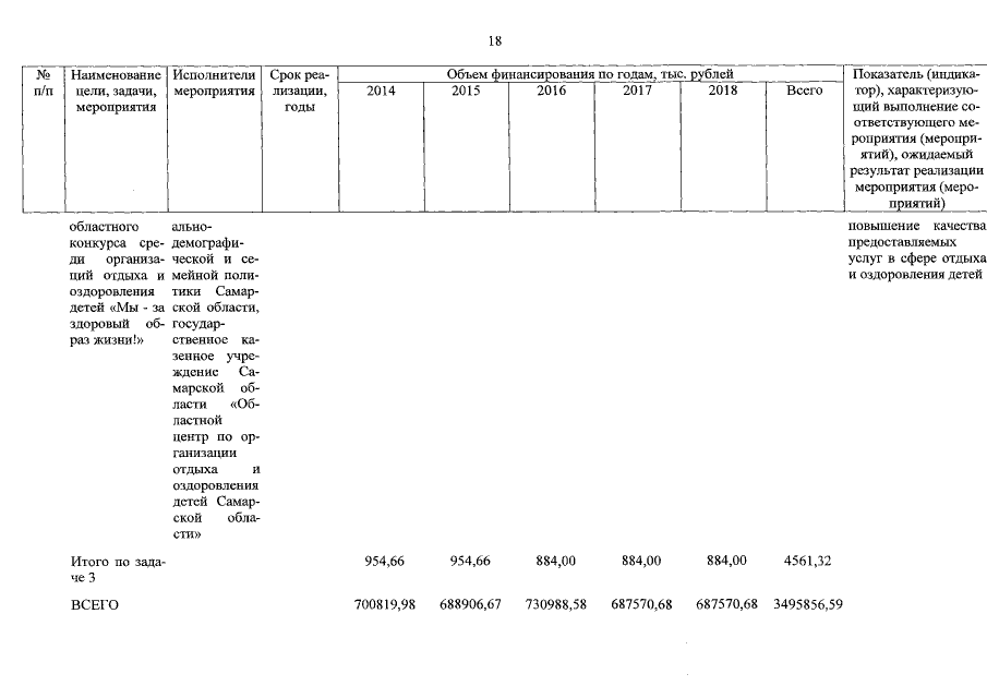
Постановление Правительства Самарской области от 14.12.2016 № 734
"О внесении изменений в постановление Правительства Самарской области от 23.07.2014 № 418 "Об утверждении государственной программы Самарской области "Развитие социальной защиты населения в Самарской области" на 2014 – 2018 годы"
Номер опубликования: 6300201612150008
Дата опубликования: 15.12.2016
Страница №45 из 111:
Увеличить