Официальное опубликование правовых актов
ОФИЦИАЛЬНОЕ ОПУБЛИКОВАНИЕ
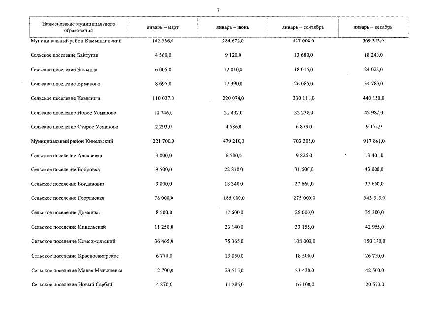
Распоряжение Правительства Самарской области от 30.12.2015 № 1076-р
"Об утверждении прогнозных значений социально-экономических показателей, оцениваемых при предоставлении из областного бюджета субсидий местным бюджетам для софинансирования расходных обязательств по вопросам местного значения, предоставляемых с учётом выполнения показателей социально-экономического развития, на 2016 год"
Номер опубликования: 6300201601040037
Дата опубликования: 04.01.2016
Страница №129 из 184:
Увеличить