Официальное опубликование правовых актов
ОФИЦИАЛЬНОЕ ОПУБЛИКОВАНИЕ
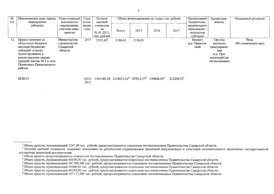
Постановление Правительства Самарской области от 15.05.2015 № 267
"О внесении изменений постановление Правительства Самарской области от 11.02.2015 № 56 "Об утверждении государственной программы Самарской области "Строительство, реконструкция и капитальный ремонт образовательных учреждений Самарской области" до 2020 года"
Номер опубликования: 6300201505200008
Дата опубликования: 20.05.2015
Страница №21 из 61:
Увеличить