Официальное опубликование правовых актов
ОФИЦИАЛЬНОЕ ОПУБЛИКОВАНИЕ
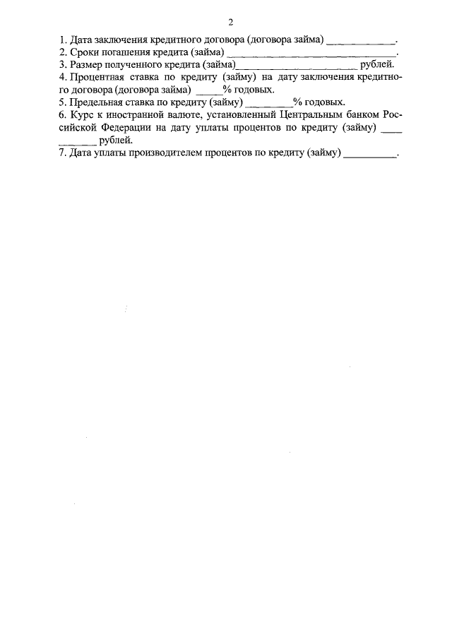
Постановление Правительства Самарской области от 23.04.2015 № 209
"О внесении изменений в отдельные постановления Правительства Самарской области"
Номер опубликования: 6300201504280026
Дата опубликования: 28.04.2015
Страница №100 из 196:
Увеличить