Официальное опубликование правовых актов
ОФИЦИАЛЬНОЕ ОПУБЛИКОВАНИЕ
Постановление Главного управления архитектуры и градостроительства Рязанской области от 17.04.2026 № 298-п
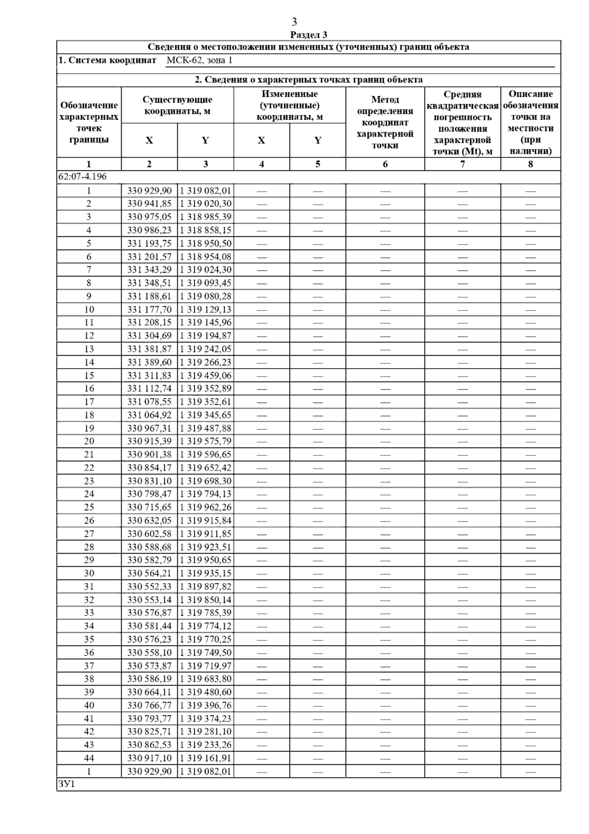
"Об утверждении генерального плана муниципального образования - Милославский муниципальный округ Рязанской области применительно к территориям Горняцкого сельского округа, р.п. Милославское с прилегающей территорией в кадастровых кварталах 62:07:0030111, 62:07:0050213, 62:07:0020117 за исключением территории, расположенной в границах Богородицкого, Павловского, Чернавского, Кочуровского, Милославского сельских округов Милославского района Рязанской области"
(Зарегистрирован 21.04.2026 № 437)
Номер опубликования: 6201202604240010
Дата опубликования: 24.04.2026
Страница №17 из 127:
Увеличить