Официальное опубликование правовых актов
ОФИЦИАЛЬНОЕ ОПУБЛИКОВАНИЕ
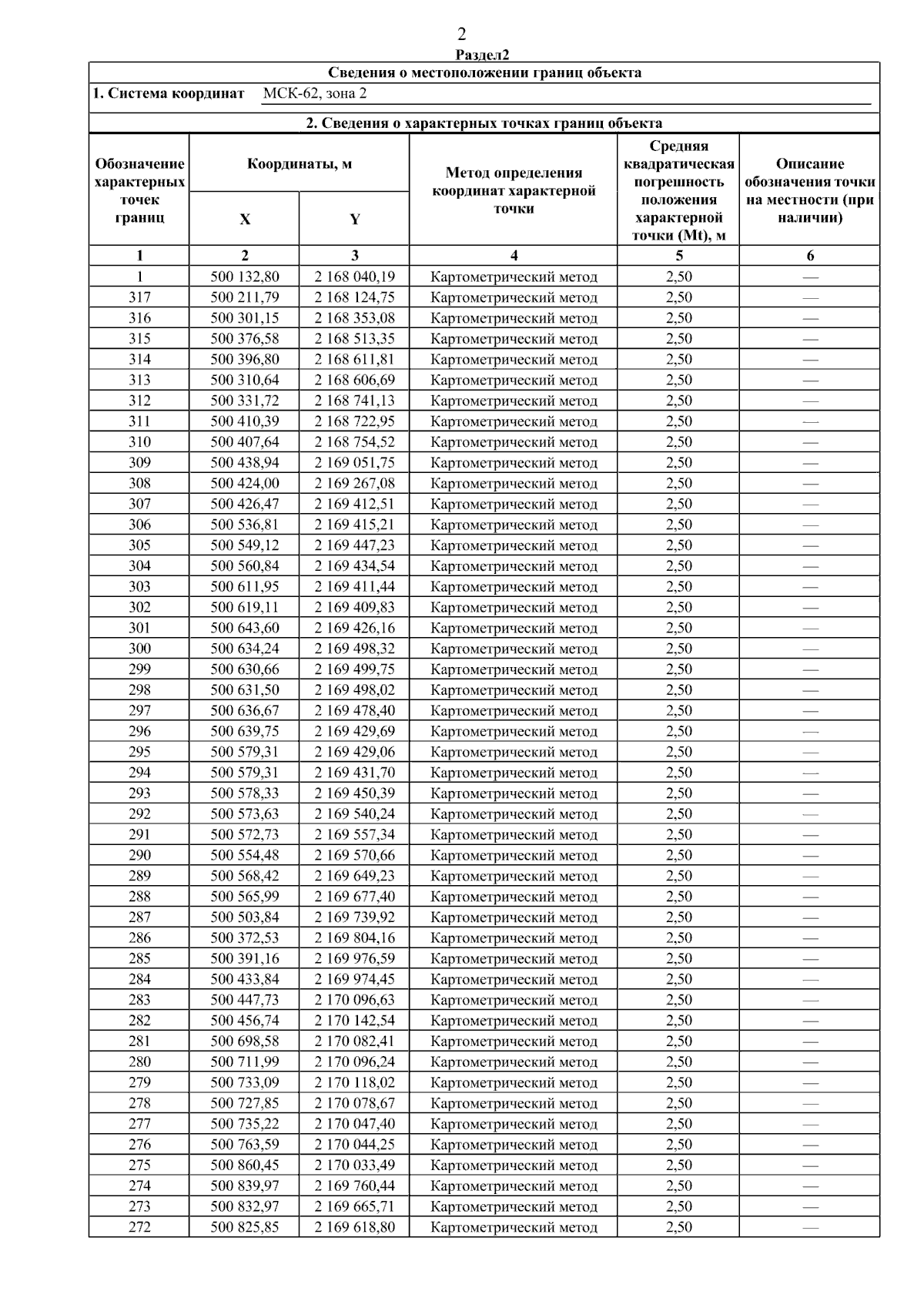
Постановление Главного управления архитектуры и градостроительства Рязанской области от 17.04.2026 № 299-п
"О внесении изменений в генеральный план муниципального образования – Спас-Клепиковское городское поселение Клепиковского муниципального района Рязанской области"
(Зарегистрирован 21.04.2026 № 438)
Номер опубликования: 6201202604240007
Дата опубликования: 24.04.2026
Страница №4 из 14:
Увеличить