Официальное опубликование правовых актов
ОФИЦИАЛЬНОЕ ОПУБЛИКОВАНИЕ
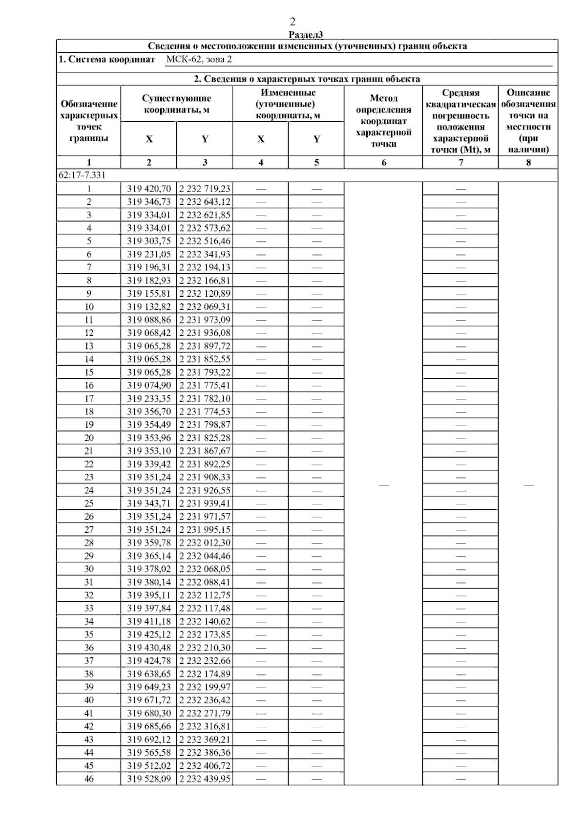
Постановление Главного управления архитектуры и градостроительства Рязанской области от 30.03.2026 № 232-п
"О внесении изменений в правила землепользования и застройки муниципального образования - Алексеевское сельское поселение Сараевского муниципального района Рязанской области"
(Зарегистрирован 01.04.2026 № 347)
Номер опубликования: 6201202604020005
Дата опубликования: 02.04.2026
Страница №8 из 11:
Увеличить