Официальное опубликование правовых актов
ОФИЦИАЛЬНОЕ ОПУБЛИКОВАНИЕ
Постановление Главного управления архитектуры и градостроительства Рязанской области от 30.03.2026 № 230-п
"О внесении изменений в правила землепользования и застройки муниципального образования - Кораблинский муниципальный округ Рязанской области применительно к территории города Кораблино Кораблинского района Рязанской области"
(Зарегистрирован 01.04.2026 № 345)
Номер опубликования: 6201202604020003
Дата опубликования: 02.04.2026
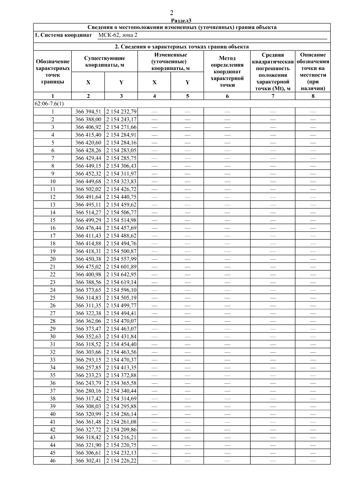
Страница №51 из 62:
Увеличить