Официальное опубликование правовых актов
ОФИЦИАЛЬНОЕ ОПУБЛИКОВАНИЕ
Постановление Главного управления архитектуры и градостроительства Рязанской области от 24.02.2026 № 173-п
"О внесении изменений в правила землепользования и застройки муниципального образования - городской округ город Скопин Рязанской области"
(Зарегистрирован 26.02.2026 № 235)
Номер опубликования: 6201202603030005
Дата опубликования: 03.03.2026
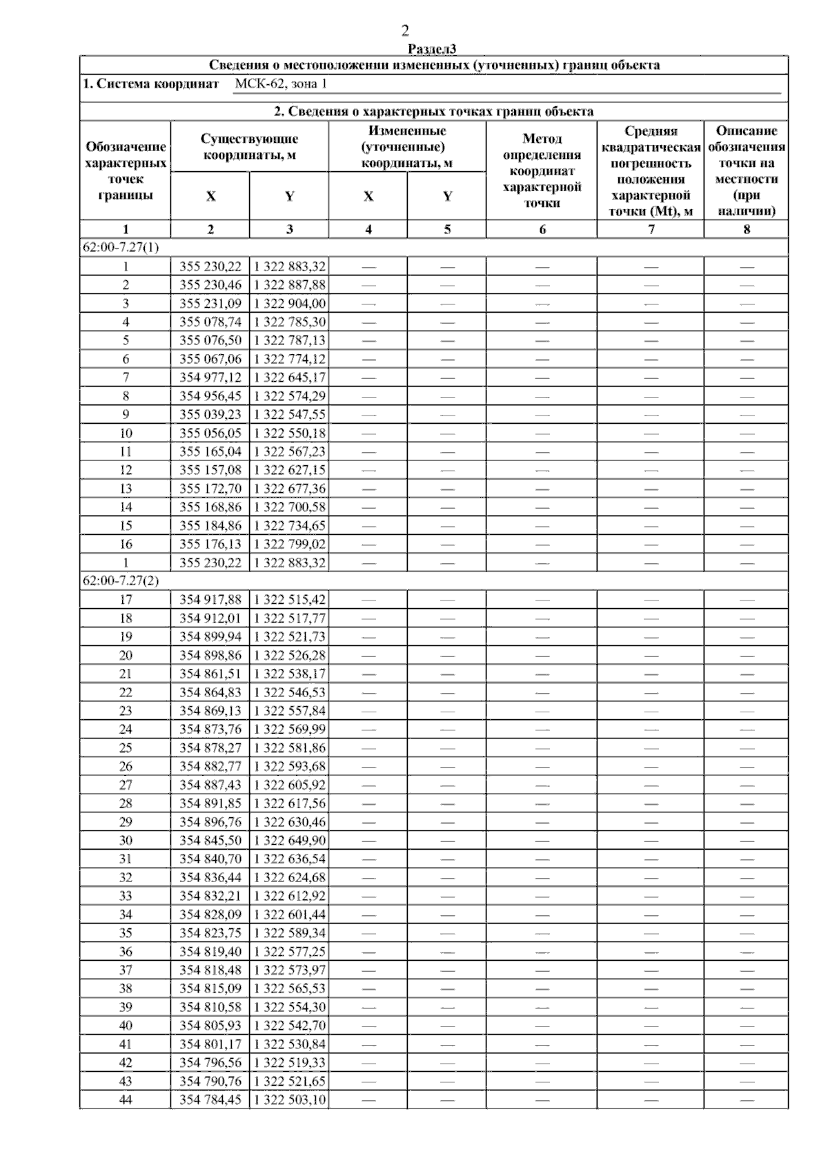
Страница №17 из 274:
Увеличить