Официальное опубликование правовых актов
ОФИЦИАЛЬНОЕ ОПУБЛИКОВАНИЕ
Постановление Главного управления архитектуры и градостроительства Рязанской области от 20.02.2026 № 154-п
"О внесении изменения в генеральный план муниципального образования – Михайловский муниципальный округ Рязанской области применительно к территории Жмуровского сельского округа Михайловского района Рязанской области"
(Зарегистрирован 24.02.2026 № 211)
Номер опубликования: 6201202602260007
Дата опубликования: 26.02.2026
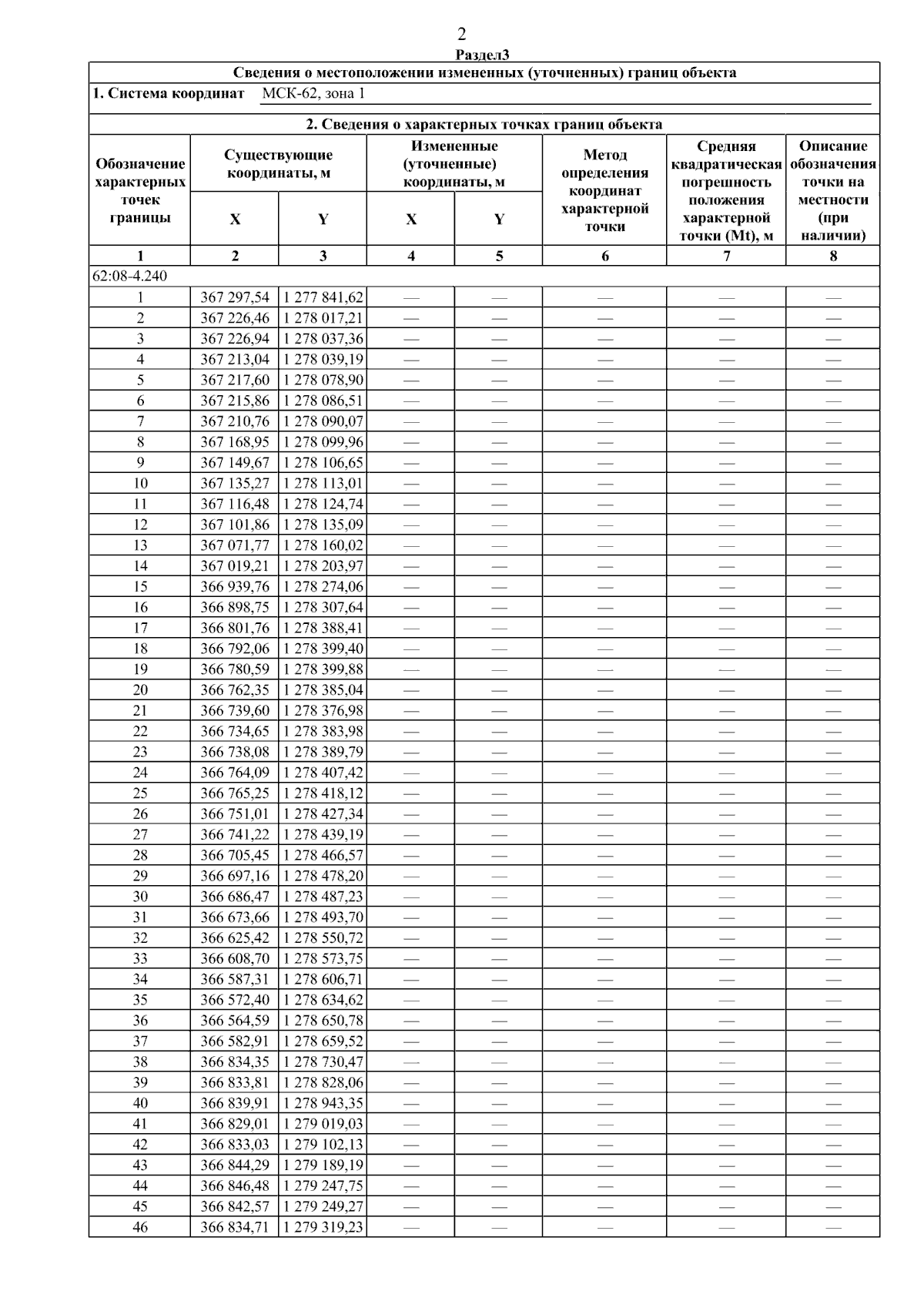
Страница №4 из 10:
Увеличить