Официальное опубликование правовых актов
ОФИЦИАЛЬНОЕ ОПУБЛИКОВАНИЕ
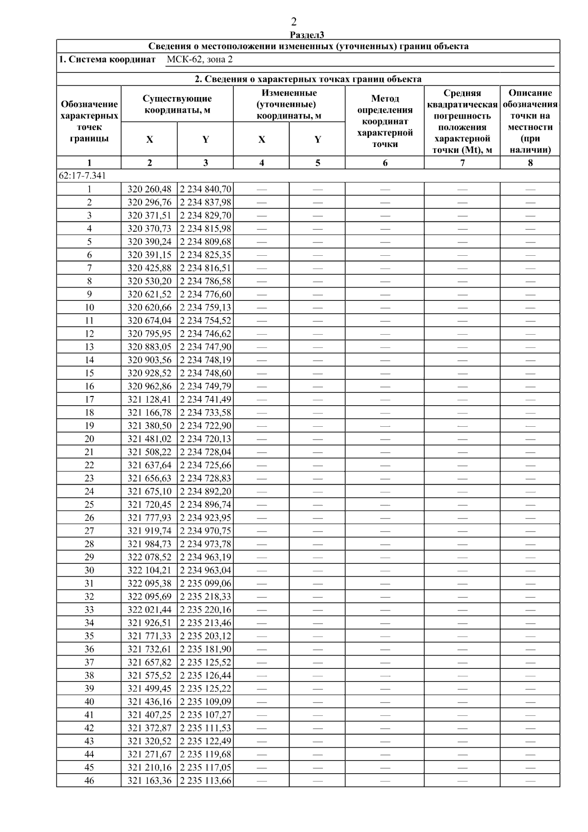
Постановление Главного управления архитектуры и градостроительства Рязанской области от 19.02.2026 № 150-п
"О внесении изменения в правила землепользования и застройки муниципального образования - Алексеевское сельское поселение Сараевского муниципального района Рязанской области"
(Зарегистрирован 20.02.2026 № 206)
Номер опубликования: 6201202602240005
Дата опубликования: 24.02.2026
Страница №4 из 9:
Увеличить