Официальное опубликование правовых актов
ОФИЦИАЛЬНОЕ ОПУБЛИКОВАНИЕ
Постановление Главного управления архитектуры и градостроительства Рязанской области от 19.01.2026 № 14-п
"О внесении изменений в правила землепользования и застройки муниципального образования - Тюшевское сельское поселение Рязанского муниципального района Рязанской области"
(Зарегистрирован 20.01.2026 № 22)
Номер опубликования: 6201202601210004
Дата опубликования: 21.01.2026
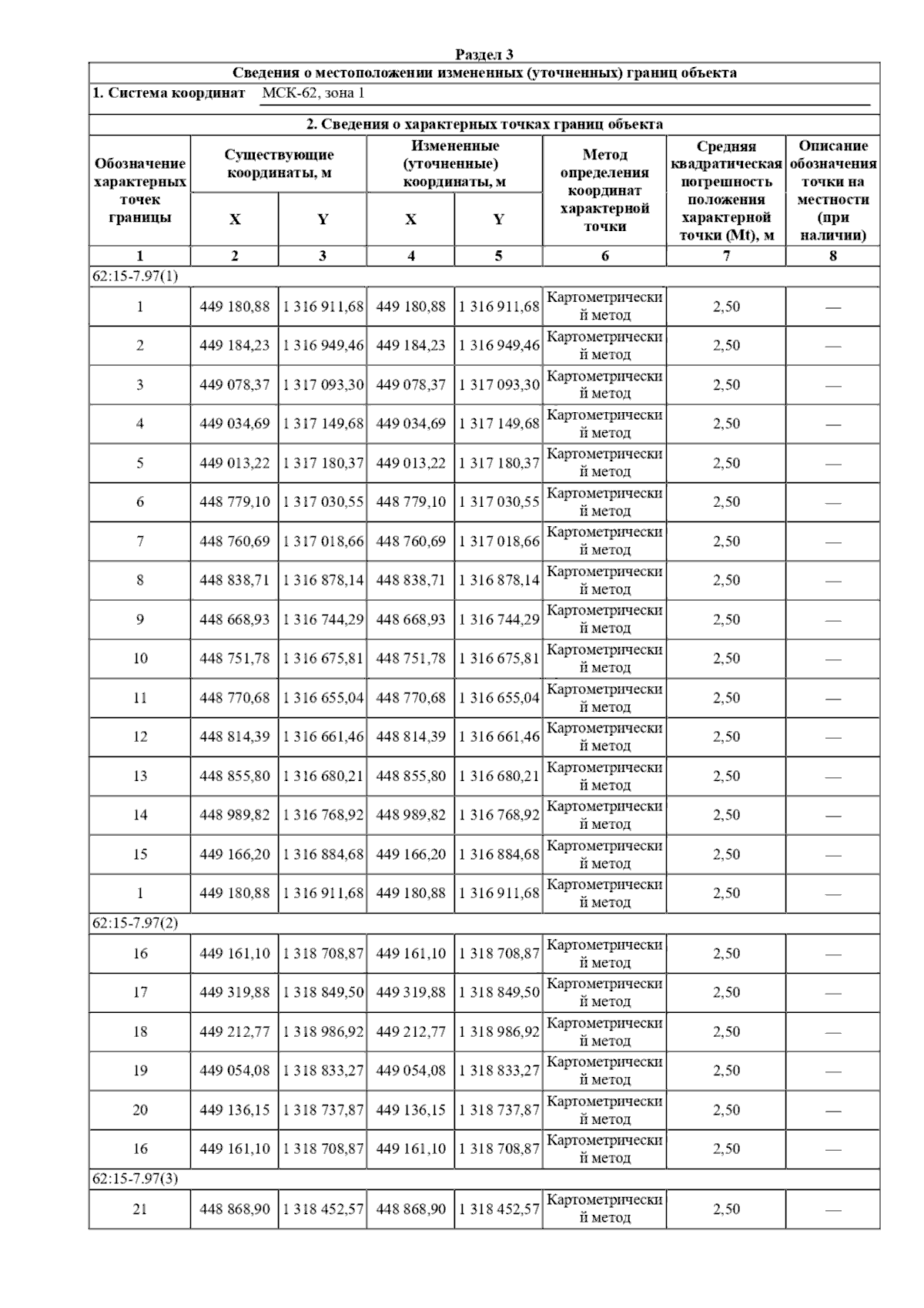
Страница №21 из 26:
Увеличить