Официальное опубликование правовых актов
ОФИЦИАЛЬНОЕ ОПУБЛИКОВАНИЕ
Постановление Главного управления архитектуры и градостроительства Рязанской области от 19.12.2025 № 1175-п
"О внесении изменения в правила землепользования и застройки муниципального образования – Санское сельское поселение Шиловского муниципального района Рязанской области"
(Зарегистрирован 23.12.2025 № 1911)
Номер опубликования: 6201202512240040
Дата опубликования: 24.12.2025
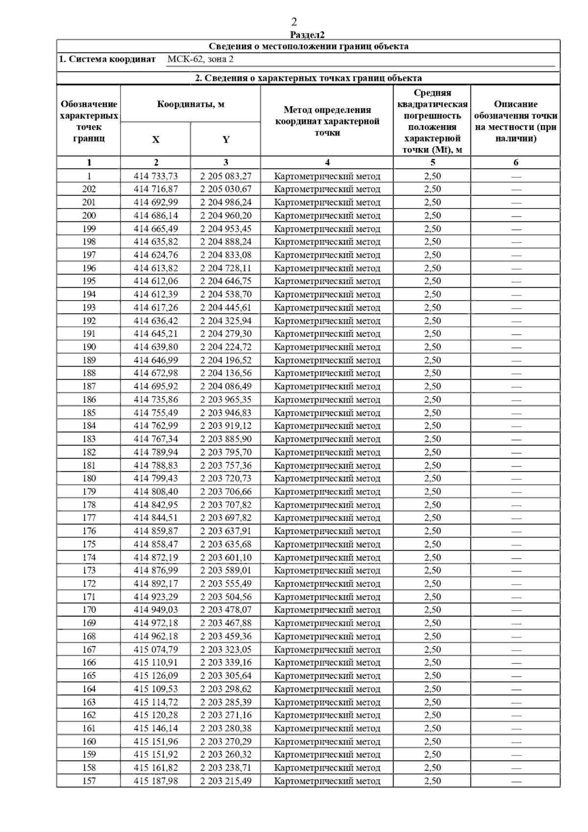
Страница №4 из 9:
Увеличить