Официальное опубликование правовых актов
ОФИЦИАЛЬНОЕ ОПУБЛИКОВАНИЕ
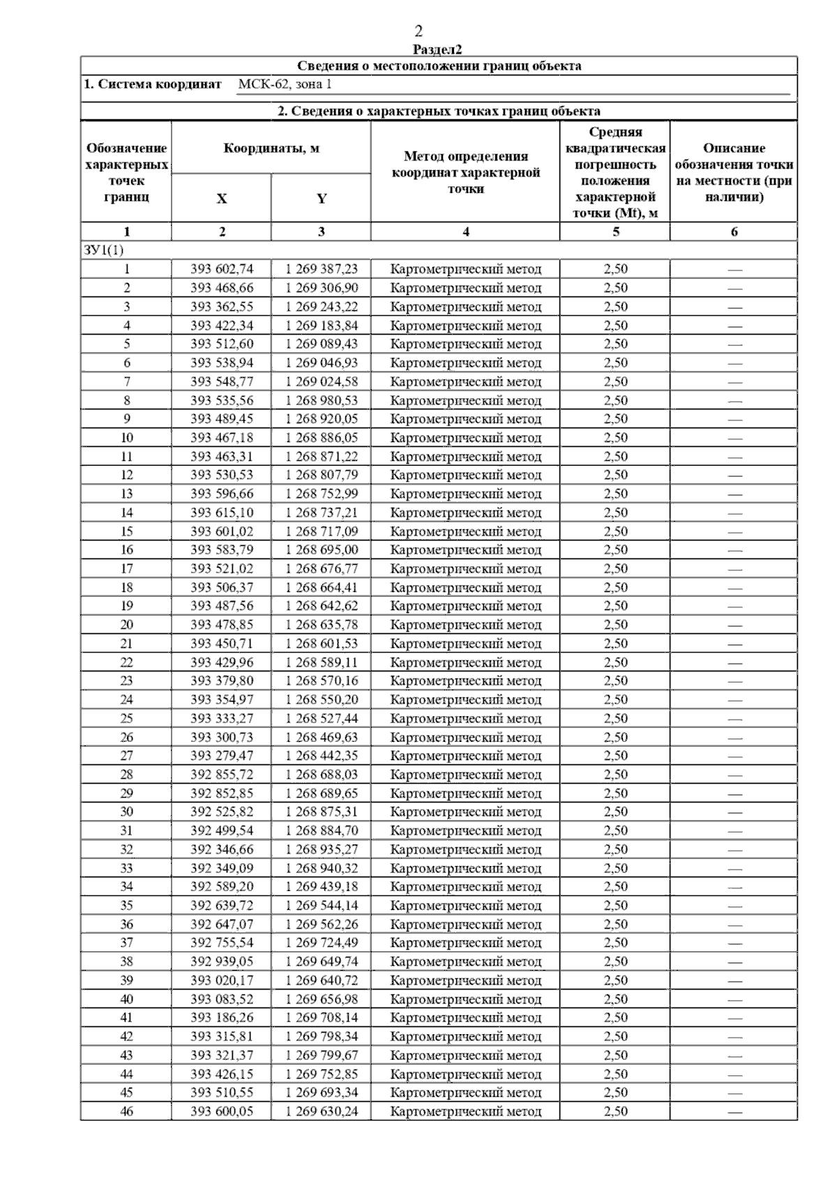
Постановление Главного управления архитектуры и градостроительства Рязанской области от 19.12.2025 № 1167-п
"О внесении изменения в генеральный план муниципального образования – Михайловский муниципальный округ Рязанской области применительно к территории Горностаевского сельского округа Михайловского района Рязанской области"
(Зарегистрирован 22.12.2025 № 1880)
Номер опубликования: 6201202512240021
Дата опубликования: 24.12.2025
Страница №4 из 5:
Увеличить