Официальное опубликование правовых актов
ОФИЦИАЛЬНОЕ ОПУБЛИКОВАНИЕ
Постановление Главного управления архитектуры и градостроительства Рязанской области от 16.12.2025 № 1150-п
"О внесении изменений в правила землепользования и застройки муниципального образования - Канинское сельское поселение Сапожковского муниципального района Рязанской области"
(Зарегистрирован 18.12.2025 № 1800)
Номер опубликования: 6201202512220014
Дата опубликования: 22.12.2025
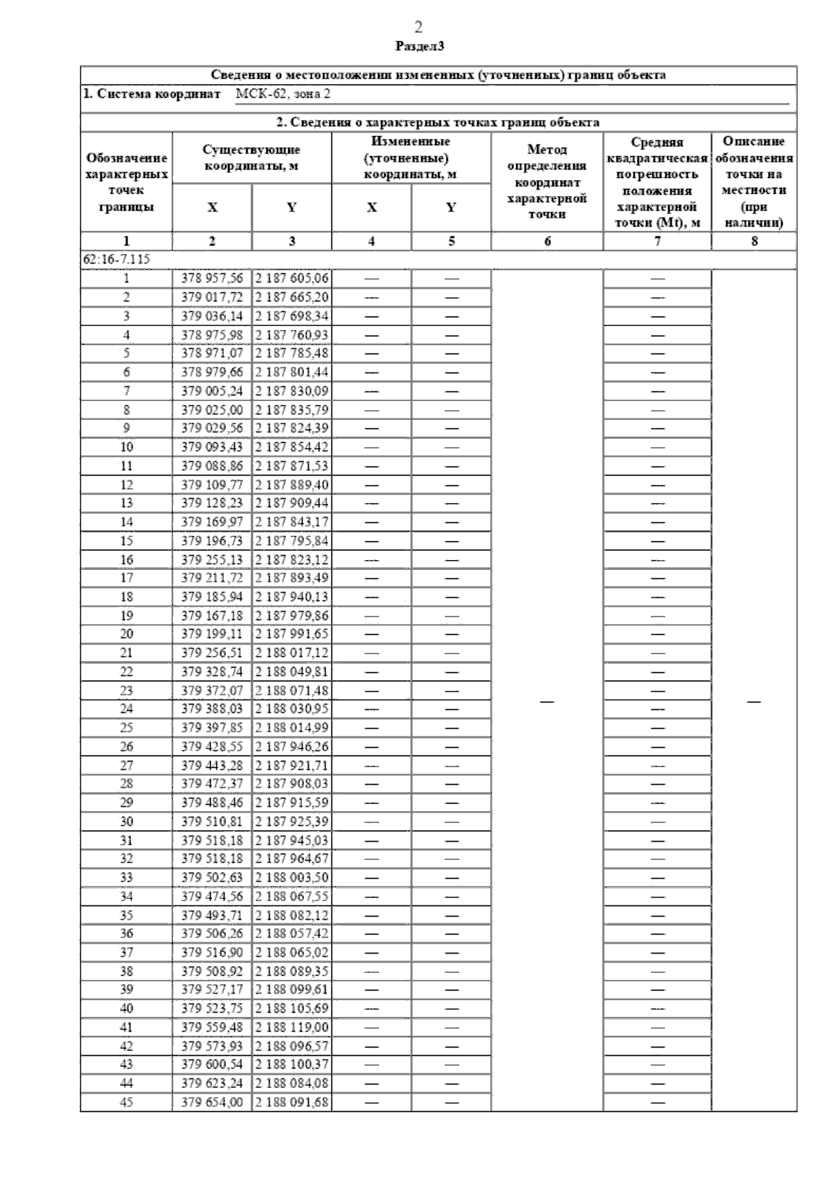
Страница №32 из 53:
Увеличить