Официальное опубликование правовых актов
ОФИЦИАЛЬНОЕ ОПУБЛИКОВАНИЕ
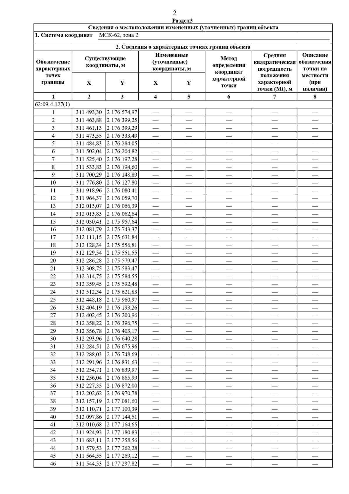
Постановление Главного управления архитектуры и градостроительства Рязанской области от 16.12.2025 № 1153-п
"О внесении изменений в генеральный план муниципального образования – Благовское сельское поселение Александро-Невского муниципального района Рязанской области"
(Зарегистрирован 18.12.2025 № 1803)
Номер опубликования: 6201202512220011
Дата опубликования: 22.12.2025
Страница №16 из 20:
Увеличить